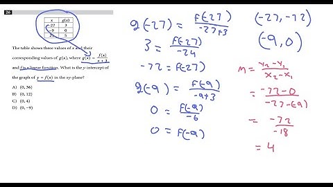
The table shows three values of x and their corresponding values of y, where y = f(x) + 4 and f...

Tonton & Download Video Musik Gratis

⬇ DOWNLOAD NOW
Kalau muncul iklan pop-up, tutup lalu klik tombol kembali

Download lagu The table shows three values of x and their corresponding values of y, where y = f(x) + 4 and f... secara gratis hanya untuk keperluan promosi. Dukung artis favorit kamu dengan membeli musik original di iTunes atau platform resmi lainnya.