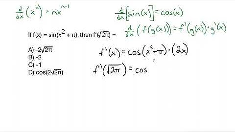
Let f:R to R defined by f(x)=(x^2)sin(pi/x^2) when x is not equal to 0 and f(x)=0 when x=0

Tonton & Download Video Musik Gratis

⬇ DOWNLOAD NOW
Kalau muncul iklan pop-up, tutup lalu klik tombol kembali

Download lagu Let f:R to R defined by f(x)=(x^2)sin(pi/x^2) when x is not equal to 0 and f(x)=0 when x=0 secara gratis hanya untuk keperluan promosi. Dukung artis favorit kamu dengan membeli musik original di iTunes atau platform resmi lainnya.