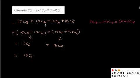
11th Std Maths 4.3(4) Prove that 15C3 + 2x 15C4 + 15C5 = 17C5

Tonton & Download Video Musik Gratis

⬇ DOWNLOAD NOW
Kalau muncul iklan pop-up, tutup lalu klik tombol kembali

Download lagu 11th Std Maths 4.3(4) Prove that 15C3 + 2x 15C4 + 15C5 = 17C5 secara gratis hanya untuk keperluan promosi. Dukung artis favorit kamu dengan membeli musik original di iTunes atau platform resmi lainnya.