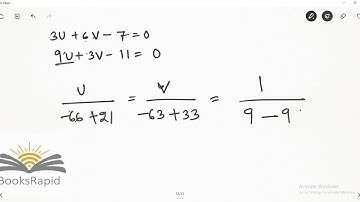
linear Simultaneous equation part-5 odia medium class 10. cross multiplication and cramer's rule

Tonton & Download Video Musik Gratis

тмЗ DOWNLOAD NOW
Kalau muncul iklan pop-up, tutup lalu klik tombol kembali

Download lagu linear Simultaneous equation part-5 odia medium class 10. cross multiplication and cramer's rule secara gratis hanya untuk keperluan promosi. Dukung artis favorit kamu dengan membeli musik original di iTunes atau platform resmi lainnya.