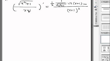
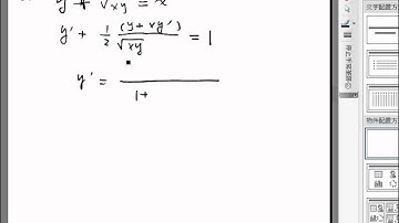
Chain Rule and Implicit Differentiation 050 | CH2-3 eCalculus@CSU,Taiwan

Tonton & Download Video Musik Gratis

⬇ DOWNLOAD NOW
Kalau muncul iklan pop-up, tutup lalu klik tombol kembali

Download lagu Chain Rule and Implicit Differentiation 050 | CH2-3 eCalculus@CSU,Taiwan secara gratis hanya untuk keperluan promosi. Dukung artis favorit kamu dengan membeli musik original di iTunes atau platform resmi lainnya.