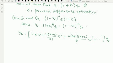
Newtons Backward Interpolation in Bangla | Numerical Method Bangla Tutorial part 7 | #codeCommando

Tonton & Download Video Musik Gratis

⬇ DOWNLOAD NOW
Kalau muncul iklan pop-up, tutup lalu klik tombol kembali

Download lagu Newtons Backward Interpolation in Bangla | Numerical Method Bangla Tutorial part 7 | #codeCommando secara gratis hanya untuk keperluan promosi. Dukung artis favorit kamu dengan membeli musik original di iTunes atau platform resmi lainnya.