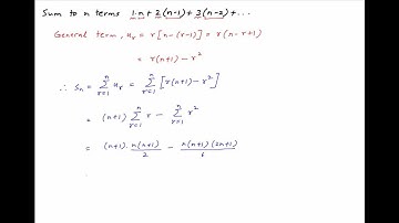
Find the sum of the series: `1. n+2.(n-1)+3.(n-2)++(n-1). 2+n .1.`

Tonton & Download Video Musik Gratis

⬇ DOWNLOAD NOW
Kalau muncul iklan pop-up, tutup lalu klik tombol kembali

Download lagu Find the sum of the series: `1. n+2.(n-1)+3.(n-2)++(n-1). 2+n .1.` secara gratis hanya untuk keperluan promosi. Dukung artis favorit kamu dengan membeli musik original di iTunes atau platform resmi lainnya.