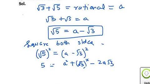
Exercise 1.3 Q9 NCERT Exemplar Class 10 Maths @MathsTeacher

Tonton & Download Video Musik Gratis

⬇ DOWNLOAD NOW
Kalau muncul iklan pop-up, tutup lalu klik tombol kembali

Download lagu Exercise 1.3 Q9 NCERT Exemplar Class 10 Maths @MathsTeacher secara gratis hanya untuk keperluan promosi. Dukung artis favorit kamu dengan membeli musik original di iTunes atau platform resmi lainnya.