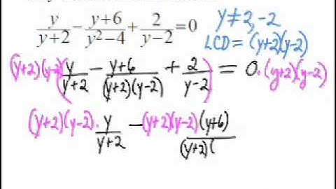
Bittinger Elementary and Intermediate Algebra 7e Chapter Test Prep Ch. 7 Ex. 21

Tonton & Download Video Musik Gratis

⬇ DOWNLOAD NOW
Kalau muncul iklan pop-up, tutup lalu klik tombol kembali

Download lagu Bittinger Elementary and Intermediate Algebra 7e Chapter Test Prep Ch. 7 Ex. 21 secara gratis hanya untuk keperluan promosi. Dukung artis favorit kamu dengan membeli musik original di iTunes atau platform resmi lainnya.