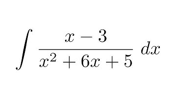
How to integrate (x 3),(x^2+6x+5) partial fraction decomposition, indefinite integral, calculus

Tonton & Download Video Musik Gratis

⬇ DOWNLOAD NOW
Kalau muncul iklan pop-up, tutup lalu klik tombol kembali

Download lagu How to integrate (x 3),(x^2+6x+5) partial fraction decomposition, indefinite integral, calculus secara gratis hanya untuk keperluan promosi. Dukung artis favorit kamu dengan membeli musik original di iTunes atau platform resmi lainnya.