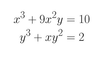
A Surprisingly Easy National Maths Olympiad Problem | Finnish National Mathematics Olympiad 2015

Tonton & Download Video Musik Gratis

⬇ DOWNLOAD NOW
Kalau muncul iklan pop-up, tutup lalu klik tombol kembali

Download lagu A Surprisingly Easy National Maths Olympiad Problem | Finnish National Mathematics Olympiad 2015 secara gratis hanya untuk keperluan promosi. Dukung artis favorit kamu dengan membeli musik original di iTunes atau platform resmi lainnya.