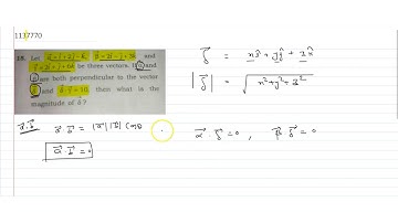
a vector a=(alpha)i+2j+(beta)k (alpha,beta are real ) lies in the same plane of the vector b=i+j ,..

Tonton & Download Video Musik Gratis

⬇ DOWNLOAD NOW
Kalau muncul iklan pop-up, tutup lalu klik tombol kembali

Download lagu a vector a=(alpha)i+2j+(beta)k (alpha,beta are real ) lies in the same plane of the vector b=i+j ,.. secara gratis hanya untuk keperluan promosi. Dukung artis favorit kamu dengan membeli musik original di iTunes atau platform resmi lainnya.