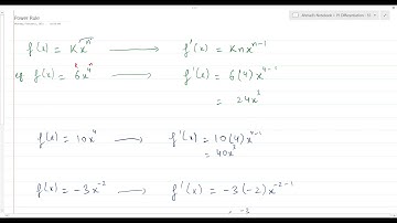
A-Level Maths: G2-07 Differentiation: Differentiating a^(kx)

Tonton & Download Video Musik Gratis

⬇ DOWNLOAD NOW
Kalau muncul iklan pop-up, tutup lalu klik tombol kembali

Download lagu A-Level Maths: G2-07 Differentiation: Differentiating a^(kx) secara gratis hanya untuk keperluan promosi. Dukung artis favorit kamu dengan membeli musik original di iTunes atau platform resmi lainnya.