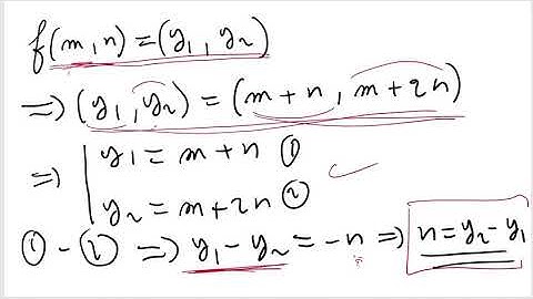
Injectivity, Surjectivity and Bijectivity -- 3. Left Inverse and Right Inverse

Tonton & Download Video Musik Gratis

⬇ DOWNLOAD NOW
Kalau muncul iklan pop-up, tutup lalu klik tombol kembali

Download lagu Injectivity, Surjectivity and Bijectivity -- 3. Left Inverse and Right Inverse secara gratis hanya untuk keperluan promosi. Dukung artis favorit kamu dengan membeli musik original di iTunes atau platform resmi lainnya.