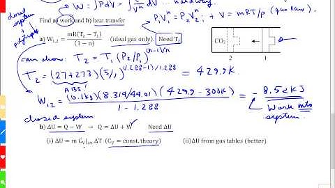
Problem #3.12:Calculating the final temperature of oxygen after reversible Polytropic compression

Tonton & Download Video Musik Gratis

⬇ DOWNLOAD NOW
Kalau muncul iklan pop-up, tutup lalu klik tombol kembali

Download lagu Problem #3.12:Calculating the final temperature of oxygen after reversible Polytropic compression secara gratis hanya untuk keperluan promosi. Dukung artis favorit kamu dengan membeli musik original di iTunes atau platform resmi lainnya.