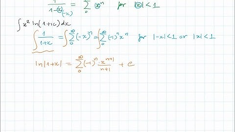
Evaluate the indefinite integral as a power series. What is the radius of convergence? ∫%s/%s…

Tonton & Download Video Musik Gratis

⬇ DOWNLOAD NOW
Kalau muncul iklan pop-up, tutup lalu klik tombol kembali

Download lagu Evaluate the indefinite integral as a power series. What is the radius of convergence? ∫%s/%s… secara gratis hanya untuk keperluan promosi. Dukung artis favorit kamu dengan membeli musik original di iTunes atau platform resmi lainnya.