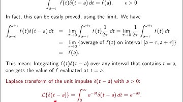
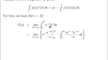
Video5-15: Laplace transform for IVP with discontinuous force. Elementary differential equations

Tonton & Download Video Musik Gratis

⬇ DOWNLOAD NOW
Kalau muncul iklan pop-up, tutup lalu klik tombol kembali

Download lagu Video5-15: Laplace transform for IVP with discontinuous force. Elementary differential equations secara gratis hanya untuk keperluan promosi. Dukung artis favorit kamu dengan membeli musik original di iTunes atau platform resmi lainnya.