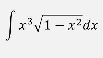
Integrate x^3/sqrt(1-x^2) using u-substitution u=1-x^2 instead of trig substitution.

Tonton & Download Video Musik Gratis

⬇ DOWNLOAD NOW
Kalau muncul iklan pop-up, tutup lalu klik tombol kembali

Download lagu Integrate x^3/sqrt(1-x^2) using u-substitution u=1-x^2 instead of trig substitution. secara gratis hanya untuk keperluan promosi. Dukung artis favorit kamu dengan membeli musik original di iTunes atau platform resmi lainnya.