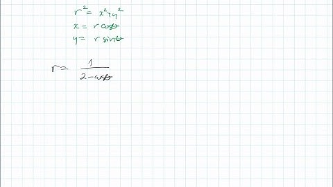
In Exercises 85-108, convert the polar equation to rectangular form. r^2=sin 2θ

Tonton & Download Video Musik Gratis

⬇ DOWNLOAD NOW
Kalau muncul iklan pop-up, tutup lalu klik tombol kembali

Download lagu In Exercises 85-108, convert the polar equation to rectangular form. r^2=sin 2θ secara gratis hanya untuk keperluan promosi. Dukung artis favorit kamu dengan membeli musik original di iTunes atau platform resmi lainnya.