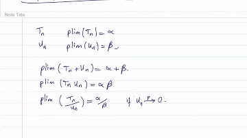
E1.11: Applying the Continuous Mapping Theorem (Econometrics Math)

Tonton & Download Video Musik Gratis

⬇ DOWNLOAD NOW
Kalau muncul iklan pop-up, tutup lalu klik tombol kembali

Download lagu E1.11: Applying the Continuous Mapping Theorem (Econometrics Math) secara gratis hanya untuk keperluan promosi. Dukung artis favorit kamu dengan membeli musik original di iTunes atau platform resmi lainnya.