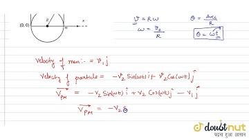
A particle of mass m, moving in a circular path of radius R with a constant speed v2 is located at p

Tonton & Download Video Musik Gratis

⬇ DOWNLOAD NOW
Kalau muncul iklan pop-up, tutup lalu klik tombol kembali

Download lagu A particle of mass m, moving in a circular path of radius R with a constant speed v2 is located at p secara gratis hanya untuk keperluan promosi. Dukung artis favorit kamu dengan membeli musik original di iTunes atau platform resmi lainnya.