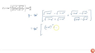
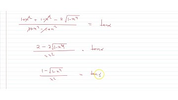
tan^-1 [ sqrt (1+x^2) + sqrt(1-x^2) / sqrt (1+x^2) - sqrt(1-x^2) | Maths Class 12 TERM 1

Tonton & Download Video Musik Gratis

⬇ DOWNLOAD NOW
Kalau muncul iklan pop-up, tutup lalu klik tombol kembali

Download lagu tan^-1 [ sqrt (1+x^2) + sqrt(1-x^2) / sqrt (1+x^2) - sqrt(1-x^2) | Maths Class 12 TERM 1 secara gratis hanya untuk keperluan promosi. Dukung artis favorit kamu dengan membeli musik original di iTunes atau platform resmi lainnya.