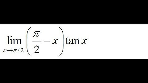
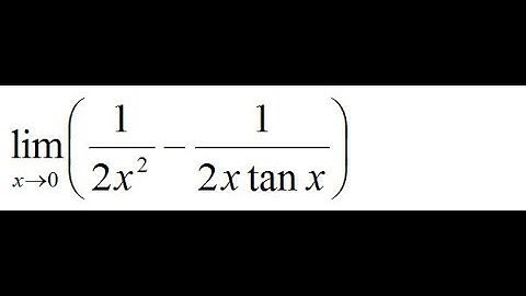
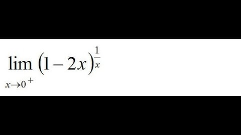
Master L’Hôpital’s Rule | Solving Indeterminate Limits in Calculus 19

Tonton & Download Video Musik Gratis

⬇ DOWNLOAD NOW
Kalau muncul iklan pop-up, tutup lalu klik tombol kembali

Download lagu Master L’Hôpital’s Rule | Solving Indeterminate Limits in Calculus 19 secara gratis hanya untuk keperluan promosi. Dukung artis favorit kamu dengan membeli musik original di iTunes atau platform resmi lainnya.