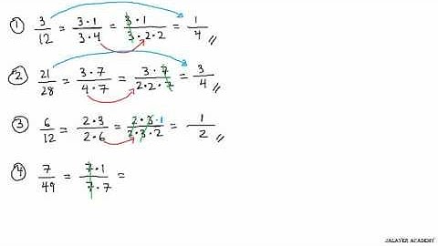
Math Review - Fractions Chapter Practice Set 4 "Reducing Fractions"

Tonton & Download Video Musik Gratis

⬇ DOWNLOAD NOW
Kalau muncul iklan pop-up, tutup lalu klik tombol kembali

Download lagu Math Review - Fractions Chapter Practice Set 4 "Reducing Fractions" secara gratis hanya untuk keperluan promosi. Dukung artis favorit kamu dengan membeli musik original di iTunes atau platform resmi lainnya.