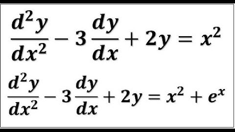
Second Order Non-Homogeneous || Undetermined Coefficient Method || KTU

Tonton & Download Video Musik Gratis

⬇ DOWNLOAD NOW
Kalau muncul iklan pop-up, tutup lalu klik tombol kembali

Download lagu Second Order Non-Homogeneous || Undetermined Coefficient Method || KTU secara gratis hanya untuk keperluan promosi. Dukung artis favorit kamu dengan membeli musik original di iTunes atau platform resmi lainnya.