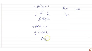
Domain (D) and range(R ) off(x)=sin^(-1)(cos^(-1)[x])where [ ]denotes the greatest integer funct...

Tonton & Download Video Musik Gratis

⬇ DOWNLOAD NOW
Kalau muncul iklan pop-up, tutup lalu klik tombol kembali

Download lagu Domain (D) and range(R ) off(x)=sin^(-1)(cos^(-1)[x])where [ ]denotes the greatest integer funct... secara gratis hanya untuk keperluan promosi. Dukung artis favorit kamu dengan membeli musik original di iTunes atau platform resmi lainnya.