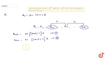
32. Show that the sum of `(m+n)^(th)` and `(m-n)^(th)` terms of an A.P. is equal to twice the ...

Tonton & Download Video Musik Gratis

⬇ DOWNLOAD NOW
Kalau muncul iklan pop-up, tutup lalu klik tombol kembali

Download lagu 32. Show that the sum of `(m+n)^(th)` and `(m-n)^(th)` terms of an A.P. is equal to twice the ... secara gratis hanya untuk keperluan promosi. Dukung artis favorit kamu dengan membeli musik original di iTunes atau platform resmi lainnya.