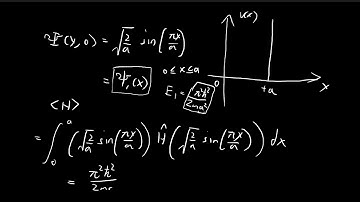
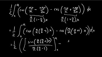
Problem 2.38, Quantum Mechanics, 3rd Edition, Griffith & Schroeter

Tonton & Download Video Musik Gratis

⬇ DOWNLOAD NOW
Kalau muncul iklan pop-up, tutup lalu klik tombol kembali

Download lagu Problem 2.38, Quantum Mechanics, 3rd Edition, Griffith & Schroeter secara gratis hanya untuk keperluan promosi. Dukung artis favorit kamu dengan membeli musik original di iTunes atau platform resmi lainnya.