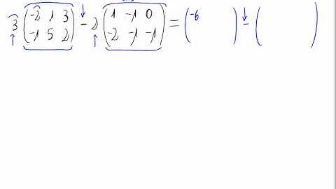
TRES FORMAS DE MULTIPLICAR MATRICES: 2. Por Columnas [Combinación lineal]. Ejemplo numérico.

Tonton & Download Video Musik Gratis

⬇ DOWNLOAD NOW
Kalau muncul iklan pop-up, tutup lalu klik tombol kembali

Download lagu TRES FORMAS DE MULTIPLICAR MATRICES: 2. Por Columnas [Combinación lineal]. Ejemplo numérico. secara gratis hanya untuk keperluan promosi. Dukung artis favorit kamu dengan membeli musik original di iTunes atau platform resmi lainnya.