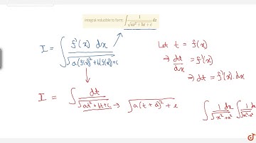
PROBLEMS BASED ON INTEGRAL OF THE FORM 1/ SQRT(ax^2+bx +c) dx || INTEGRAL OF 1/X^2+2X+2

Tonton & Download Video Musik Gratis

⬇ DOWNLOAD NOW
Kalau muncul iklan pop-up, tutup lalu klik tombol kembali

Download lagu PROBLEMS BASED ON INTEGRAL OF THE FORM 1/ SQRT(ax^2+bx +c) dx || INTEGRAL OF 1/X^2+2X+2 secara gratis hanya untuk keperluan promosi. Dukung artis favorit kamu dengan membeli musik original di iTunes atau platform resmi lainnya.