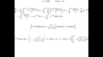
Evaluating the Integral of sin(x)/x from 0 to Infinity Using Feynman's Technique

Tonton & Download Video Musik Gratis

⬇ DOWNLOAD NOW
Kalau muncul iklan pop-up, tutup lalu klik tombol kembali

Download lagu Evaluating the Integral of sin(x)/x from 0 to Infinity Using Feynman's Technique secara gratis hanya untuk keperluan promosi. Dukung artis favorit kamu dengan membeli musik original di iTunes atau platform resmi lainnya.