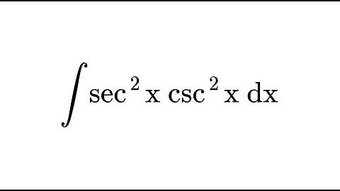
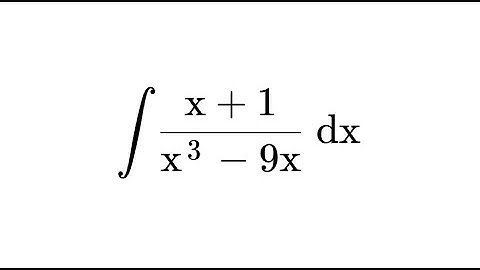
CXC/CAPE Pure Maths (U2+P2) ~ Integration by Parts Twice & Linearity of Integration ~ 2024-2a

Tonton & Download Video Musik Gratis

⬇ DOWNLOAD NOW
Kalau muncul iklan pop-up, tutup lalu klik tombol kembali

Download lagu CXC/CAPE Pure Maths (U2+P2) ~ Integration by Parts Twice & Linearity of Integration ~ 2024-2a secara gratis hanya untuk keperluan promosi. Dukung artis favorit kamu dengan membeli musik original di iTunes atau platform resmi lainnya.