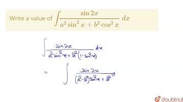
Q6 | Integral of sin2x/a^2sin^2x + b^2cos^2x |Integration of sin2x/a^2sin^2x + b^2cos^2x |

Tonton & Download Video Musik Gratis

⬇ DOWNLOAD NOW
Kalau muncul iklan pop-up, tutup lalu klik tombol kembali

Download lagu Q6 | Integral of sin2x/a^2sin^2x + b^2cos^2x |Integration of sin2x/a^2sin^2x + b^2cos^2x | secara gratis hanya untuk keperluan promosi. Dukung artis favorit kamu dengan membeli musik original di iTunes atau platform resmi lainnya.