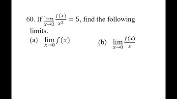
60 If lim(x→0)⁡f(x)/x^2 =5, find the following limits. lim(x→0)⁡f(x) lim(x→0)⁡f(x)/x

Tonton & Download Video Musik Gratis

⬇ DOWNLOAD NOW
Kalau muncul iklan pop-up, tutup lalu klik tombol kembali

Download lagu 60 If lim(x→0)⁡f(x)/x^2 =5, find the following limits. lim(x→0)⁡f(x) lim(x→0)⁡f(x)/x secara gratis hanya untuk keperluan promosi. Dukung artis favorit kamu dengan membeli musik original di iTunes atau platform resmi lainnya.