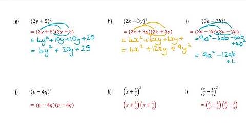
Grade 9 Lesson 1 video 1 Binomial x Binomial and Squaring a binomial

Tonton & Download Video Musik Gratis

⬇ DOWNLOAD NOW
Kalau muncul iklan pop-up, tutup lalu klik tombol kembali

Download lagu Grade 9 Lesson 1 video 1 Binomial x Binomial and Squaring a binomial secara gratis hanya untuk keperluan promosi. Dukung artis favorit kamu dengan membeli musik original di iTunes atau platform resmi lainnya.