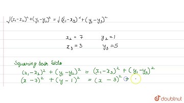
relation b/w x,y P(x,y) equidistant from A(3,5)andB(7,1).find points on x,y axes equidistant A and B

Tonton & Download Video Musik Gratis

⬇ DOWNLOAD NOW
Kalau muncul iklan pop-up, tutup lalu klik tombol kembali

Download lagu relation b/w x,y P(x,y) equidistant from A(3,5)andB(7,1).find points on x,y axes equidistant A and B secara gratis hanya untuk keperluan promosi. Dukung artis favorit kamu dengan membeli musik original di iTunes atau platform resmi lainnya.