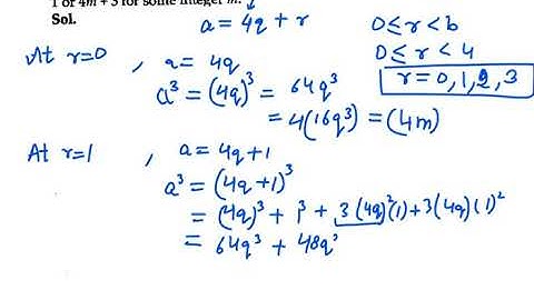
Show that Cube of any positive integer is of the form 4m, 4m+1 or 4m+3, for some integer 'm'/

Tonton & Download Video Musik Gratis

⬇ DOWNLOAD NOW
Kalau muncul iklan pop-up, tutup lalu klik tombol kembali

Download lagu Show that Cube of any positive integer is of the form 4m, 4m+1 or 4m+3, for some integer 'm'/ secara gratis hanya untuk keperluan promosi. Dukung artis favorit kamu dengan membeli musik original di iTunes atau platform resmi lainnya.