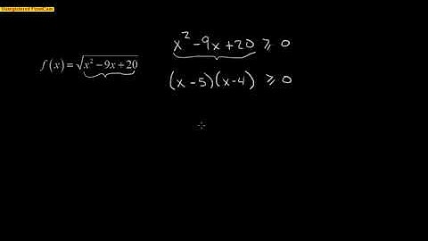
Pre-Calculus: Section 1.4 - Domain, Zeros, Difference Quotient

Tonton & Download Video Musik Gratis

⬇ DOWNLOAD NOW
Kalau muncul iklan pop-up, tutup lalu klik tombol kembali

Download lagu Pre-Calculus: Section 1.4 - Domain, Zeros, Difference Quotient secara gratis hanya untuk keperluan promosi. Dukung artis favorit kamu dengan membeli musik original di iTunes atau platform resmi lainnya.