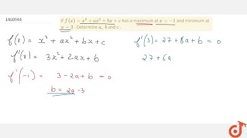
The function `y=alogx+bx^2+x` has extreme values at x=1,2.Find a and b

Tonton & Download Video Musik Gratis

⬇ DOWNLOAD NOW
Kalau muncul iklan pop-up, tutup lalu klik tombol kembali

Download lagu The function `y=alogx+bx^2+x` has extreme values at x=1,2.Find a and b secara gratis hanya untuk keperluan promosi. Dukung artis favorit kamu dengan membeli musik original di iTunes atau platform resmi lainnya.