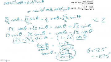
AQA Core 4 4.01 Using the Addition Formulae to find sin(2x)

Tonton & Download Video Musik Gratis

⬇ DOWNLOAD NOW
Kalau muncul iklan pop-up, tutup lalu klik tombol kembali

Download lagu AQA Core 4 4.01 Using the Addition Formulae to find sin(2x) secara gratis hanya untuk keperluan promosi. Dukung artis favorit kamu dengan membeli musik original di iTunes atau platform resmi lainnya.