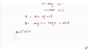
XII Vectors Find a vector of magnitude 5√2, making angles pi 4 with x axis, pi 2 with y axis, and an

Tonton & Download Video Musik Gratis

⬇ DOWNLOAD NOW
Kalau muncul iklan pop-up, tutup lalu klik tombol kembali

Download lagu XII Vectors Find a vector of magnitude 5√2, making angles pi 4 with x axis, pi 2 with y axis, and an secara gratis hanya untuk keperluan promosi. Dukung artis favorit kamu dengan membeli musik original di iTunes atau platform resmi lainnya.