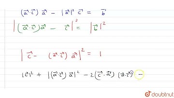
If `bar a xx bar b=bar c xx bar d,bar a xx bar c=bar b xxbar d` then

Tonton & Download Video Musik Gratis

⬇ DOWNLOAD NOW
Kalau muncul iklan pop-up, tutup lalu klik tombol kembali

Download lagu If `bar a xx bar b=bar c xx bar d,bar a xx bar c=bar b xxbar d` then secara gratis hanya untuk keperluan promosi. Dukung artis favorit kamu dengan membeli musik original di iTunes atau platform resmi lainnya.