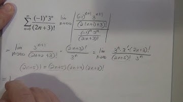
Apply the ratio test for the series e^(2n)/(n-2)!. Ratio test with exponentials and factorials.

Tonton & Download Video Musik Gratis

⬇ DOWNLOAD NOW
Kalau muncul iklan pop-up, tutup lalu klik tombol kembali

Download lagu Apply the ratio test for the series e^(2n)/(n-2)!. Ratio test with exponentials and factorials. secara gratis hanya untuk keperluan promosi. Dukung artis favorit kamu dengan membeli musik original di iTunes atau platform resmi lainnya.