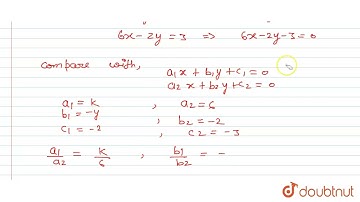
The system kx-y=2 and 6x-2y= 3 has a unique solution only when

Tonton & Download Video Musik Gratis

⬇ DOWNLOAD NOW
Kalau muncul iklan pop-up, tutup lalu klik tombol kembali

Download lagu The system kx-y=2 and 6x-2y= 3 has a unique solution only when secara gratis hanya untuk keperluan promosi. Dukung artis favorit kamu dengan membeli musik original di iTunes atau platform resmi lainnya.