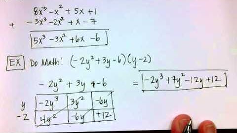
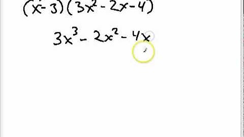
Al 2 5.3 Video 2 Ad, Subtract, Multiply Polynomials.mp4

Tonton & Download Video Musik Gratis

⬇ DOWNLOAD NOW
Kalau muncul iklan pop-up, tutup lalu klik tombol kembali

Download lagu Al 2 5.3 Video 2 Ad, Subtract, Multiply Polynomials.mp4 secara gratis hanya untuk keperluan promosi. Dukung artis favorit kamu dengan membeli musik original di iTunes atau platform resmi lainnya.