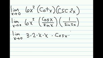
lim [sin(x)(1-cosx))/x^2, trig limit example(watch to end to see all work in one place)

Tonton & Download Video Musik Gratis

⬇ DOWNLOAD NOW
Kalau muncul iklan pop-up, tutup lalu klik tombol kembali

Download lagu lim [sin(x)(1-cosx))/x^2, trig limit example(watch to end to see all work in one place) secara gratis hanya untuk keperluan promosi. Dukung artis favorit kamu dengan membeli musik original di iTunes atau platform resmi lainnya.