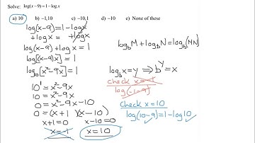
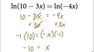
Solve a Logarithmic Equation Involving 2 Logarithmic Terms Using the 1 to 1 Property of Logarithms

Tonton & Download Video Musik Gratis

⬇ DOWNLOAD NOW
Kalau muncul iklan pop-up, tutup lalu klik tombol kembali

Download lagu Solve a Logarithmic Equation Involving 2 Logarithmic Terms Using the 1 to 1 Property of Logarithms secara gratis hanya untuk keperluan promosi. Dukung artis favorit kamu dengan membeli musik original di iTunes atau platform resmi lainnya.