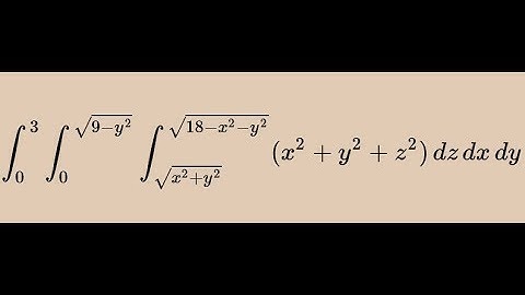
🔷4.(multivariable calculus)–evaluating triple integral in spherical coordinates problem

Tonton & Download Video Musik Gratis

⬇ DOWNLOAD NOW
Kalau muncul iklan pop-up, tutup lalu klik tombol kembali

Download lagu 🔷4.(multivariable calculus)–evaluating triple integral in spherical coordinates problem secara gratis hanya untuk keperluan promosi. Dukung artis favorit kamu dengan membeli musik original di iTunes atau platform resmi lainnya.