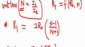
NFTL Design of T - Symmetrical Network Attenuator (Network, Filter & Transmission Line)

Tonton & Download Video Musik Gratis

⬇ DOWNLOAD NOW
Kalau muncul iklan pop-up, tutup lalu klik tombol kembali

Download lagu NFTL Design of T - Symmetrical Network Attenuator (Network, Filter & Transmission Line) secara gratis hanya untuk keperluan promosi. Dukung artis favorit kamu dengan membeli musik original di iTunes atau platform resmi lainnya.