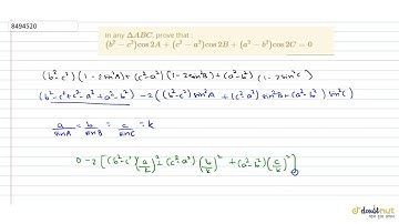
In any `DeltaABC`, prove that : If `b+c = 2a cos ((B-C)/2)`, then prove that `A=60^0`.

Tonton & Download Video Musik Gratis

⬇ DOWNLOAD NOW
Kalau muncul iklan pop-up, tutup lalu klik tombol kembali

Download lagu In any `DeltaABC`, prove that : If `b+c = 2a cos ((B-C)/2)`, then prove that `A=60^0`. secara gratis hanya untuk keperluan promosi. Dukung artis favorit kamu dengan membeli musik original di iTunes atau platform resmi lainnya.